The Gartley Pattern Scanner indicator for MT4 automatically scans candlestick price charts for Gartley patterns, plotting potential reversal zones with clear BUY or SELL signals. This allows forex traders to act quickly on bullish or bearish opportunities.

Key Features
- Automatic Pattern Detection
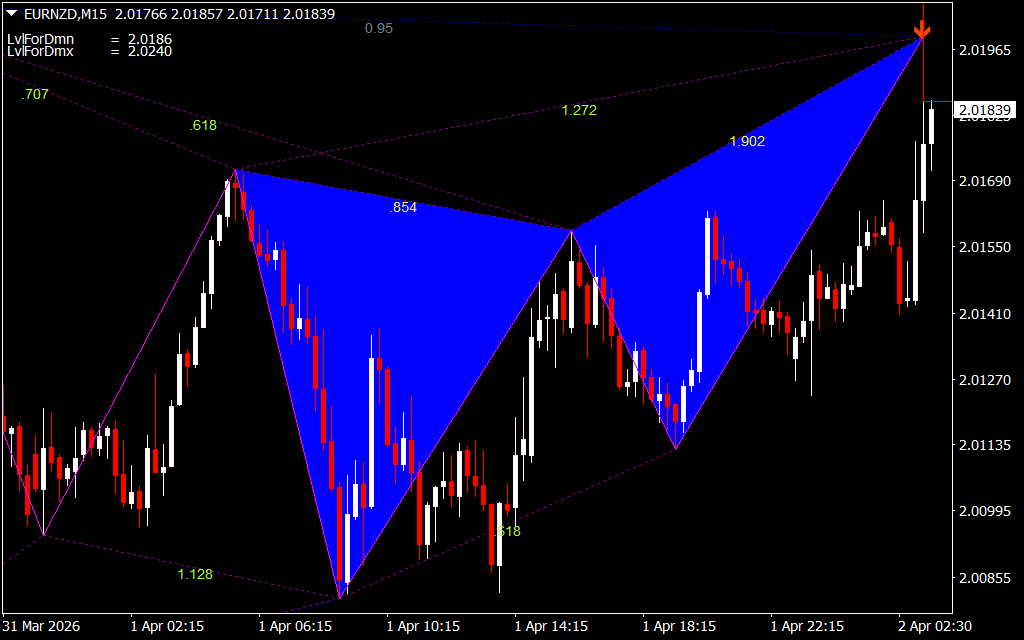
The indicator identifies both bullish and bearish Gartley patterns and highlights the potential reversal zone with an Arrow Signal. Traders can then place trades confidently based on these signals. - Suitable for All Skill Levels
- New Traders: Can easily spot patterns and potential reversal zones, entering the market with minimal guesswork.
- Advanced Traders: Can incorporate the indicator into more complex trading strategies to enhance technical analysis.
- Versatile Across Timeframes
The indicator works on all intraday charts as well as daily, weekly, and monthly charts. Patterns on higher timeframes tend to last longer, providing more reliable trading opportunities.
How to Trade with Gartley Pattern Scanner
- Bullish Pattern:
When a bullish Gartley pattern completes, the potential reversal zone is marked with a blue box and an UP arrow. Traders can enter a BUY trade with a stop loss below the zone and target profits according to pattern rules or risk-reward strategies. - Bearish Pattern:
For a bearish Gartley pattern, enter a SELL trade with a stop loss above the potential reversal zone. Patterns on higher timeframes are more reliable, while lower timeframes can be used for trend-following trades.
Important Considerations
- The potential reversal zone may shift as price moves.
- Reversal signals can fail in strong trending markets.
- Traders should confirm entry points within the potential reversal zone to reduce risk.
- Understanding the Pesavento pattern structure is crucial for effective trading.
Conclusion
The Gartley Pattern Scanner for MT4 is an essential tool for forex traders focusing on Pesavento patterns. By automatically detecting bullish and bearish patterns and plotting potential reversal zones, it allows traders to spend more time managing trades rather than searching for opportunities. The indicator is free to download and easy to install, making it suitable for both beginner and experienced traders.
1 Download
Published:
Apr 01, 2026 21:33 PM
Category: